У 1995 г.

СВЕРХСВЕТОВЫЕ  ЯВЛЕНИЯ И ПРОСТРАНСТВЕННО–ВРЕМЕННЫЕ ОТНОШЕНИЯ  В ТАХИОННЫХ МИРАХ

В.В.Корухов,  Ю.И.Наберухин

Проблеме возможности описания в рамках специальной теории относительности (СТО) сверхсветовых явлений — и, в частности, частиц, движущихся со скоростью, большей скорости света (тахионов) — посвящена огромная литература (см. библиографию в [1] и обзоры [2, 3]). Общее впечатление, которое можно получить от нее, заключается в том, что большинство авторов склоняется к мнению, что СТО не запрещает существование таких явлений. Такой оптимистический вывод основывается на “принципах реинтерпретации” (для того, чтобы избежать трудностей с нарушением причинности) и выражает нетерпение авторов развить различные аспекты физики гипотетических “тахионных полей” (см., например, статьи в [4]). Между тем, как нам кажется, в них недостаточно прояснены основы, на которые опираются авторы, и игнорируется основополагающее значение принципа относительности. В настоящей статье мы постараемся провести чисто логический анализ проблемы, опираясь на этот принцип.

Мы будем основываться на самых общих положениях, на которых базируется СТО.

I. Принцип относительности: описание всех явлений в любых инерциальных системах одинаково. Отсюда, между прочим, следует, что законы преобразования координат от одной инерциальной системы к другой могут зависеть только от относительной скорости этих систем, но не от свойств описываемых в них явлений.

II. Инвариантность скорости света во всех инерциальных системах.

III. Числа, которыми мы параметризуем пространство и время, то есть которые мы приписываем пространственным и временной координатам, должны быть действительными числами. Это очевидное положение обычно не формулируется явно, но для логического анализа оно совершенно необходимо.

Постановка задачи. Пусть имеются две инерциальные системы отсчета К и К', причем система К' движется в положительном направлении оси x со скоростью v. В этих двух системах будем рассматривать один и тот же процесс, начало и конец которого происходят в разных точках пространства, разделенных пространственным интервалом (dx, dy, dz), в течение интервала времени dt (все — в системе К). Введем скорость процесса w = (dx/dt, dy/dt, dz/dt) = (wX, wY, wZ). Если в процессе изменяется только координата x, будем в скорости опускать индекс и писать: w = dx/dt. Таким образом, квадрат пространственно–временного интервала в системе К можно записать как

ds2 = dx2 + dy2 + dz2c2dt2 = dr2c2dt2 = dt2(w2c2).                                                   (1)

На величину скоростей v и w не будем накладывать никаких ограничений.  Наша задача состоит в анализе формул преобразования координат от одной инерциальной системы к другой для всех значений скоростей  v и w.

Из принципа II следует, что преобразования координат от К в К' должны оставлять инвариантным световой конус, то есть уравнение ds2 = 0 должно преобразовываться в  ds' 2 = 0. Это означает, что для несветовых событий инвариантность квадрата интервала должна выполняться с точностью до знака. Тогда возможны три ситуации:

i) dr2c2 dt2 = dr' 2c2 dt' 2       или     dt2 (w2c2) = dt' 2 (w' 2c2).

Оба квадрата интервалов отрицательны, и значит как  w, так и w'  меньше скорости света.

ii) dr2c2 dt2 = – (dr' 2c2 dt' 2) или  dt2 (w2c2) = dt' 2 (c2w' 2).

Квадраты интервалов имеют разный знак, и значит одна из скоростей, w или w', больше с, а другая меньше с.

iii) dr2c2 dt2 = dr' 2c2 dt' 2    или   dt2(w2c2) = dt' 2(w' 2c2).                   

Сейчас оба квадрата интервалов положительны, то есть скорость протекания любых процессов в двух системах отсчета больше с.

Во всех этих трех ситуациях мы должны рассматривать два случая: а) v < c  и б) v > c. Таким образом, всего имеется шесть вариантов.

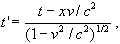
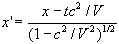
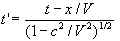
Анализ. Ограничимся для начала преобразованиями координат (x, t). Знак квадрата интервала ds2 = dx2c2dt2 сохраняют, во–первых, обычные преобразования Лоренца (ситуация (i)),

   

(2)

        

 

и, во–вторых, преобразования, введенные в [5] (ситуация (iii)):

      

(3)

                                                                                                                 

В преобразованиях (3) перепараметризована относительная скорость двух систем отсчета, так что вместо v вводится скорость V, формально V = c2/v. Преобразования, меняющие знак квадрата интервала и отвечающие ситуации (ii), получаются отсюда заменой знака под корнем:

                                                            (4)

и

                                                         (5)

Следуя принципу (III), мы должны заключить, что преобразования (2) и (5) применимы (дают действительные числа), когда относительная скорость систем отсчета v (или V) меньше скорости света, а преобразования (3) и (4) соответствуют случаю, когда v (или V) больше скорости света.

В одномерном пространстве преобразования (4) и (5) можно было бы анализировать и дальше. Но в трехмерном пространстве положение дел принципиально иное. Изменение знака квадрата интервала при переходе из К в К', ситуация (ii), приводит кроме преобразований (4) и (5) к соотношениям

y' = iy,   z'  = iz.                                                                                             (6)

В системе К' координаты y' и z' получаются чисто мнимыми. Здесь нарушается принцип (III), и значит, преобразования (4) и (5) вместе с (6) не могут иметь физического смысла. Поэтому вся ситуация (ii) должна быть исключена из теорий, претендующих на описание реального пространства–времени.

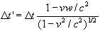
Преобразования (2) анализировались в неисчислимом количестве работ. В ситуации (iб), при v < c и w > c, возникает, как известно, парадокс нарушения причинности. Действительно, полагая  w = Dx /Dt, из (2) можно получить связь временных интервалов в следующем виде:

                                                                                   (7)

Отсюда видно, что при условии

w > c2/v                                                                                               (8)

в системе К' обращается временная последовательность событий по сравнению с системой К, то есть причина и следствие  как будто меняются местами. Для спасения принципа причинности в работе [6] (которая инициировала весь поток новой литературы, отраженный в библиографии [1]) был выдвинут “принцип реинтерпретации”. Если считать, что рассматриваемый сверхсветовой процесс есть движение частицы со скоростью  w > c (тахион), то при условии (8) изменяется не только знак временного интервала, но и знак энергии тахиона. Поэтому, согласно “принципу реинтерпретации”, поглощение тахиона с отрицательной энергией в “отрицательном” времени можно трактовать как испускание тахиона с положительной энергией в “положительном” времени, что якобы спасает принцип причинности. На самом деле, как можно показать подробным анализом (который мы надеемся привести в другом месте), такой “принцип реинтерпретации” не спасает ситуацию. Но для нашего формального исследования этот содержательный анализ даже не важен. Важно другое: нарушение инвариантности знака временного интервала при условии (8) означает, что мы не можем теперь использовать преобразования Лоренца. При выполнении условия (8) мы должны как–то по–другому описывать наше сверхсветовое явление в системе К', применяя если не “принцип реинтерпретации”, то какие–то другие рецепты. И вот именно этот факт необходимости изменить способ описания явления в К' противоречит принципу относительности, ибо условие (8) не лоренц–инвариантно.

Действительно, условие (8), при котором мы должны изменить способ описания тахиона в системе К', зависит не только от относительной скорости v этой системы отсчета относительно некоторой другой инерциальной системы К, но также и от того, с какой скоростью w движется этот тахион в К. Получается так, что если в системе К тахион просто быстр (w > c, но w < c2/v), то для перехода в систему К' можно пользоваться преобразованиями Лоренца; если же в К тахион ультрабыстр (выполняется неравенство (8)), то необходимы какие–то другие преобразования координат или какие–то “принципы реинтерпретации”, если они вообще существуют. К тому же формальная классификация тахионов в системе К на просто быстрые и ультрабыстрые определяется не только их скоростью w в К, но и скоростью этой системы v относительно какой–то другой системы К'. Такое положение вещей находится в резком противоречии к принципу относительности. Для данного тахиона в К всегда найдется такая инерциальная система К', в которой будет “нарушаться причинность”, т.е. будет выполняться условие (8). Следовательно, теряется равноправие всех инерцальных систем, требуемое принципом относительности. Все это означает, что в ситуации (iб) существование тахионов невозможно.

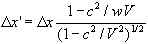
Остается рассмотреть преобразования (3) для сверхсветовых инерциальных систем отсчета N и N'. Они применимы при V > c. Если частица движется со скоростью w < c в N, то и в N' будет w' < c в силу закона сложения скоростей

                                                                           (9)

который вытекает из (3). Следовательно, система N' может быть сопутствующей такой частице (может быть w' = 0). Однако здесь имеется логическое противоречие: система N', движущаяся относительно N со сверхсветовой скоростью, не может быть сопутствующей для частицы, движущейся относительно N со скоростью, меньшей скорости света. Следовательно, случай w < c не совместим с преобразованиями (3).

Тахионный мир. Пусть теперь w >c. Тогда, согласно (9), |w'| > c. Таким образом, рассматриваемая ситуация (iiiб) относится к преобразованию координат между двумя тахионными системами отсчета, в которых частицы не могут двигаться со скоростями, меньшими скорости света. Расширяя преобразования (3) на трехмерное пространство, то есть добавляя к ним преобразования

y' =  y,    z' =  z,                                                                                (10)

мы должны считать, что теперь в тахионном мире существуют только частицы (процессы), у которых модуль полного вектора скорости больше скорости света: |w| > c. Легко убедиться в том, что  из преобразований (3) вместе  с (10)  следует  тогда, что и |w'| > c. Поскольку световой барьер непреодолим для обычных вещественных частиц, в тахионный мир невозможно перейти путем использования каких угодно процессов в обычном вещественном мире. Эти два мира сосуществуют, взаимопроникая и дополняя друг друга, и отличаются пространственно–временной областью существования. Мы должны специально исследовать свойства тахионного мира и быть готовы к тому, что они будут во многом необычными. Чтобы избежать путаницы, мы будем в дальнейшем системы отсчета в тахионном мире обозначать как  N и N'.

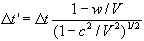
Рассмотрим проблему причинности в тахионных мирах. Казалось бы здесь, как и в ситуации (iб), нужно исследовать знак временного интервала между сверхсветовыми событиями. Из (3) и w = x/t  следует

                                                                     (11)

При  w > V знак временного интервала изменяется, и мы сталкиваемся казалось бы с таким же нарушением принципа причинности, как и в обычной СТО.

Однако, следуя [5], мы должны в тахионном мире по–другому подойти к анализу пространственно–временных аспектов причинности. В СТО рассматривается только временной аспект проблемы, тогда как пространству при этом отводится роль “фона”, на котором разворачиваются события. Действительно, требование причинности в СТО сводится к возможности некоторого фиксированного события влиять только на события, которые произойдут позже, и невозможности влияния на события, совершившиеся ранее. Одним из важных следствий принципа причинности в СТО является инвариантность временного интервала, что теоретически сводится к неизменности его знака в отношении выбора системы отсчета. Именно этот аспект причинности не позволяет в рамках СТО ввести для вещественного наблюдателя сверхсветовые движения, поскольку в этом случае временной порядок причинно связанных событий становится неинвариантным.

В тахионных мирах, согласно (11), временной порядок событий, приобретает относительный характер, т.е. движение возможно из “прошлого” в “будущее”, и обратно. Здесь необходимо отметить, что понятия “прошлое” и “будущее” в тахионном мире должны подвергнуться кардинальному пересмотру во избежание спекуляций этими понятиями на основании их представлений в вещественном мире, т.е. в мире СТО. Важно понимать, что в тахионном мире изменяется не только вид преобразования координат, т.е. от преобразований Лоренца (2) нужно перейти к новым преобразованиям (3), но и смысл пространственно–временных отношений [5].

Действительно, переменной изменения теперь выступает координата x, а время t является одной из координат состояния. Если в обычном мире движение есть изменение координаты x во времени t, то в тахионном мире движение нужно понимать как изменение времени t в единичном пространственном интервале x. Такой необычный вывод можно пояснить следующим образом. В СТО для любой движущейся частицы можно ввести сопутствующую ей систему отсчета K', то есть такую, в которой она покоится в пространстве (по координате x', т.е. Dx' = 0). Мировая линия нашего объекта (который можно назвать наблюдателем в мире вещественных объектов или — для краткости — вещественным наблюдателем) в системе K' совпадает с осью времени, причем временная координата может только увеличиваться: Dt > 0. При попытке расширить СТО на сверхсветовые явления, не изменяя смысла пространственно–временных отношений, мы приходим к ситуации (ii). Здесь формально можно ввести сопутствующую тахиону систему отсчета K' (w' = 0,  w > c). Именно поэтому ситуация (ii) обычно и рассматривается в “классической теории тахионов” [2, 3]. Однако мы отвергли ситуацию (ii) в целом, поскольку она не удовлетворяет принципу (III). В тахионном мире снова появляется возможность ввести сопутствующую тахиону систему отсчета N', однако, имеющую иное, чем в СТО, физическое содержание.

В тахионном мире возможен относительный покой “по времени” [5], то есть такая сопутствующая тахиону система отсчета N', в которой Dt' = 0, — аналогично тому как в СТО возможен покой по пространственной координате x, то есть такая К', что в ней для частицы Dx' = 0. Мировая линия объекта (тахионного наблюдателя) в системе N' совпадает с пространственной осью x, и координата x может только увеличиваться: Dx > 0. Действительно, из (3) мы видим, что покою “по времени” в системе N' (Dt' = 0) соответствует движение “в координате x”, по закону t = x/V, то есть временная переменная изменяется со “скоростью” 1/V.

В соответствии с этими представлениями и причинная последовательность пространственно–временных событий в тахионном мире тоже должна пониматься иначе, чем в обычном вещественном мире. Если в последнем при любом движении временная координата может только увеличиваться, Dt > 0, т.е. мировая линия вещественного наблюдателя совпадает с осью времени, а приращение координаты x может быть любого знака, то в тахионном мире причинность соответствует увеличению переменной изменения x: Dx > 0, т.е. мировая линия тахионного наблюдателя совпадает с пространственной осью, а приращение временной координаты t может быть любого знака. Пусть w = x/t характеризует скорость передачи информации в пространственной цепочке причина ® следствие. Тогда согласно преобразованиям (3), между системами отсчета N и N' имеет место следующая связь пространственных интервалов:

                                                                              (12)

Поскольку и V > c, и w > c, то всегда Dx' > 0, и принцип причинности в его пространственном аспекте выполняется в любой инерциальной системе отсчета тахионного мира, т.е. является инвариантным. Пространственный порядок событий оказывается независящим от выбора системы отсчета наблюдателя в тахионном мире, и противопоставление “левого” и “правого” приобретает абсолютное значение, отличаясь от относительного смысла аналогичных понятий нашей вещественной реальности. Но временная упорядоченность событий уже неинвариантна, исчезает абсолютное различие “прошлого” и “будущего”, характерное для нашей вещественно–полевой модели реальности, становится возможным движение из “прошлого” в “будущее” и т.п.

Таким образом, мы делаем заключение, что временной аспект принципа причинности, физическая интерпретация которого связана с СТО, и его пространственный аспект, рассмотренный в данной работе, являются двумя относительно самостоятельными сторонами единого пространственно–временного принципа причинности.

Заключение. Формальный анализ законов преобразования координат от одной инерциальной системы отсчета к другой, основанный на принципах (I), (II), (III), показывает, что преобразования Лоренца невозможно расширить так, чтобы они описывали сверхсветовые явления, если сохранить обычное содержание пространственно–временных отношений. Логически непротиворечивое описание мира сверхсветовых объектов (тахионного мира) получается, если в каком–то смысле поменять местами временную и одну из пространственных координат (скажем, x), так что в качестве переменной изменения — “числа движения” (как удачно выразился Аристотель) — выступает теперь не время, а пространственная переменная. Разумеется, в таких тахионных мирах пространственно–временное описание событий, равно как и форма принципа причинности приобретают необычный вид, который нуждается в дальнейшем осмыслении. Возникает вопрос, существуют ли в реальности явления, которые соответствуют определенному таким образом тахионному миру? Возможный ответ состоит в том, что сверхсветовая пространственно–временная область, рассматриваемая в данной работе, может представлять рационально осмысленную область пространства–времени духовного бытия (в том числе и некоторых психофизических феноменов) и может быть включена равноправной составляющей в сегодняшнюю концептуальную модель вещественно–полевой физической реальности [7].

 

Литература

1. Философские проблемы гипотезы сверхсветовых скоростей. М., Наука. 1986.

2. Реками Э. Теория относительности и ее обобщения // В сб.: Астрофизика, кванты и теория относительности. М. Мир. 1982.

3. Recami E., Mignani R. Classical theory of tachyons (special relativity extended to superluminal frames and objects) // Riv. Nuovo Cimento. 1974. V.4, P. 209.

4. Эйнштейновский сборник – 1973.  М. Наука. 1974.

5. Корухов В.В. Теоретические и методологические аспекты кинематики тахионов // Гуманитарные науки в Сибири. 1994. № 1, С. 25.

6. Bilaniuk O.M., Deshpande V., Sudarshan E.C.G. Meta — relativity // Amer. J. Phys. 1962. V. 30, P. 718.

7. Корухов В.В. Пространство–время религиозного опыта // Материалы VII Международного семинара “Космическое пространство в науке, философии и богословии”. Санкт–Петербург, 3–6 августа, 1994.

 

630090 Новосибирск–90, пр.Акад.Лаврентьева, 17

Институт философии и права СО РАН

630090 Новосибирск–90, ул.Институтская, 3

Институт химической кинетики и горения СО РАН